The formation of hot Jupiters is still not well understood and has the potential to inform our understanding of all giant planets, including those in our own Solar system.
Hot Jupiters are giant planets similar in size to Jupiter that orbit their host stars blisteringly fast, completing one orbit in less than 10 days. Traditional theories of planet formation suggest that such planets should not be able to form so close to their stars. Since the Nobel Prize-winning discovery of hot Jupiters in the 1990s, their formation has remained a mystery, with multiple competing hypotheses put forward. Much of my work has revolved around answering the question, “How do hot Jupiter systems form?” Using a combination of planet searches, occurrence rate estimation, dynamical modeling, and population-level analysis, I have sought to demystify this enigmatic class of planets. In understanding how hot Jupiters form, it is possible to determine why certain giant planets become hot Jupiters and, by extension, why some such as our Solar system’s own gas giants did not. Below are some examples of work I have led and participated in to unravel the mysteries of hot Jupiter formation and evolution. Click on the images to go to the publication.
A Uniform Search for Nearby Planetary Companions to Hot Jupiters in TESS Data Reveals Hot Jupiters Are Still Lonely: I searched time series data from the Transiting Exoplanet Survey Satellite (TESS) for almost 200 known hot Jupiter systems to search for additional, nearby planets, indicative of a dynamically quiet migration mechanism. Finding none, I estimated the occurrence rate of these nearby companion planets to be about 7.3% of transiting hot Jupiter systems. This provides additional evidence that a dynamically active migration mechanism is the dominant formation mechanism of hot Jupiters.
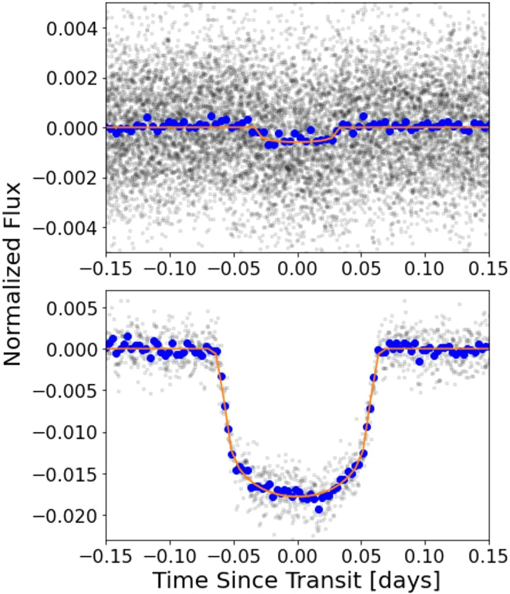
The Discovery of a Planetary Companion Interior to Hot Jupiter WASP-132 b: Using time series search algorithms on data from the Transiting Exoplanet Survey Satellite (TESS), I discovered an additional small planet orbiting interior to the known hot Jupiter WASP-132 b. Using additional follow up observations, dynamical modeling, and statistical methods to validate the signal, I was able to determine that this periodic signal is from a bona fide planet, making it only the fourth such planet discovered out of the more than 500 hot Jupiter systems. This is definitive evidence that the WASP-132 system must have formed via a dynamically quiescent pathway, a huge step forward in understanding hot Jupiter formation as a whole.
A Swarm of WASP Planets: Nine Giant Planets Identified by the WASP Survey: We searched time series data from the Wide Angle Survey for Planets (WASP) facility to discover nine new giant planets around bright stars. Using follow up data from ground- and space-based facilities, we were able to determine that these are bona fide planets. This adds a large haul of planets to the known hot Jupiter sample, including the hot Jupiter WASP-195 b, which is anomalously puffy for its mass, meaning that it may still be contracting from its initial formation, providing an excellent test bed for studying young hot Jupiter systems at the tail end of their formation.